二次元裏@ふたば
[ホーム]

[掲示板に戻る]
レス送信モード
おなまえ
E-mail
題  名
コメント
添付File []
削除キー(削除用.英数字で8字以内)

画像ファイル名:1772615808138.jpg-(25723 B)
25723 B無念Nameとしあき26/03/04(水)18:16:48No.1391567841そうだねx1 05日00:54頃消えます
メラって一般人(HP10と仮定)なら即死級の火炎と考えるとわりととんでもない火力なのでは
削除された記事が2件あります.見る
1無念Nameとしあき26/03/04(水)18:19:42No.1391568378そうだねx3
そうだよ
2無念Nameとしあき26/03/04(水)18:20:09No.1391568454+
今のはメラゾーマではない…(何だっけ…)
3無念Nameとしあき26/03/04(水)18:20:36No.1391568539そうだねx2
なんで一般人のHPが10だと仮定するの?
4のミスター・ハンのHPは70あるんやぞ
4無念Nameとしあき26/03/04(水)18:20:54No.1391568595+
人もコロコロできないような魔法で
モンスターと戦えとおっしゃる
5無念Nameとしあき26/03/04(水)18:23:06No.1391569010そうだねx25
>なんで一般人のHPが10だと仮定するの?
>4のミスター・ハンのHPは70あるんやぞ
それのどこが一般人…?
6無念Nameとしあき26/03/04(水)18:24:37No.1391569301そうだねx2
ギラとかバギとか数人を殺せるくらいか
やばいな
7無念Nameとしあき26/03/04(水)18:24:41No.1391569322そうだねx5
そもそも化け物との命の取り合いに用いてるわけで
8無念Nameとしあき26/03/04(水)18:24:55No.1391569378+
    1772616295175.jpg-(61301 B)
61301 B
一般人です
9無念Nameとしあき26/03/04(水)18:25:01No.1391569398+
    1772616301132.png-(33750 B)
33750 B
大体これくらいの火力だそうな
10無念Nameとしあき26/03/04(水)18:25:49No.1391569571そうだねx7
>大体これくらいの火力だそうな
なぜサッカーボール大の水を?
11無念Nameとしあき26/03/04(水)18:26:18No.1391569674そうだねx1
>そもそも化け物との命の取り合いに用いてるわけで
言われてみればそうである
12無念Nameとしあき26/03/04(水)18:30:51No.1391570520そうだねx1
ドラクエの呪文は大体後で物理にひっくり返される
13無念Nameとしあき26/03/04(水)18:36:43No.1391571758+
一般の村人のHPは1とかじゃなかった?
14無念Nameとしあき26/03/04(水)18:38:09No.1391572086+
レベル1でHP一桁とかあるんかな
ファミコン版だいぶ忘れてきた
15無念Nameとしあき26/03/04(水)18:39:06No.1391572264そうだねx1
    1772617146554.jpg-(187175 B)
187175 B
こんな感じか
こりゃ無理だ
16無念Nameとしあき26/03/04(水)18:39:11No.1391572283+
スレッドを立てた人によって削除されました
>…5無念Nameとしあき26/03/04(水)18:23:06No.1391569010 ngそうだねx2
>>なんで一般人のHPが10だと仮定するの?
>>4のミスター・ハンのHPは70あるんやぞ
>それのどこが一般人…?
17無念Nameとしあき26/03/04(水)18:40:01No.1391572470そうだねx3
張り詰めた〜
18無念Nameとしあき26/03/04(水)18:40:08No.1391572503そうだねx2
>レベル1でHP一桁とかあるんかな
>ファミコン版だいぶ忘れてきた
>1772615808138.jpg
まほうつかいは初期だと9とかギリ一桁
19無念Nameとしあき26/03/04(水)18:40:18No.1391572536そうだねx2
>レベル1でHP一桁とかあるんかな
>ファミコン版だいぶ忘れてきた
魔法使いは7とか普通
20無念Nameとしあき26/03/04(水)18:40:29No.1391572582+
>No.1391572283
なにこれ
21無念Nameとしあき26/03/04(水)18:41:05No.1391572707+
>>レベル1でHP一桁とかあるんかな
>>ファミコン版だいぶ忘れてきた
>魔法使いは7とか普通
スライム以下で草
薬草三分割しないと
22無念Nameとしあき26/03/04(水)18:41:25No.1391572775+
>一般人です
HP2000くらい
23無念Nameとしあき26/03/04(水)18:42:54No.1391573105+
火球を飛ばす衝突のダメージもあるから意外と痛いのかもな
24無念Nameとしあき26/03/04(水)18:47:46No.1391574249+
    1772617666461.jpg-(36538 B)
36538 B
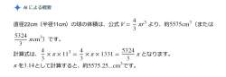
>大体これくらいの火力だそうな
大人用のサッカーボール(5号球)は直径22cmで
体積を計算してもらうとこうらしい
5.6リットルの水を(何℃からか不明だが)「一瞬で蒸発」=100℃って
たぶんイメージより大きな熱量が要るよな
25無念Nameとしあき26/03/04(水)18:47:56No.1391574291そうだねx5
>張り詰めた〜
今のはメラではない…米良だ
26無念Nameとしあき26/03/04(水)18:49:21No.1391574638+
そもそもスライムから殴られても一般人にはかなりダメージじゃなかったか?
27無念Nameとしあき26/03/04(水)18:57:29No.1391576514そうだねx3
一般人といったらずしおうまると戦えるくらいだよねー
28無念Nameとしあき26/03/04(水)18:58:21No.1391576751+
夢の世界はまあ
29無念Nameとしあき26/03/04(水)18:58:24No.1391576764+
>メラって一般人(HP10と仮定)なら即死級の火炎
粉塵爆発みたいに肺の中の酸素まで燃やし尽くすとか
30無念Nameとしあき26/03/04(水)18:59:36No.1391577038+
>そもそもスライムから殴られても一般人にはかなりダメージじゃなかったか?
ぬののふくを着た魔法使いが3ぐらい貰う
骨折れるかもしれんな
31無念Nameとしあき26/03/04(水)19:02:38No.1391577747+
RPGって最終的にプレイヤーが世界征服できるくらい強くなるんだよな
32無念Nameとしあき26/03/04(水)19:03:24No.1391577934+
シレンのダンジョン内歩いてるNPCくらいが一般人のHP
33無念Nameとしあき26/03/04(水)19:06:13No.1391578580+
ダメージで身体能力低下しない場合はHPは0になった時に致命的なダメージを負うまでの運命力みたいな感じじゃないだろうか
34無念Nameとしあき26/03/04(水)19:09:57No.1391579453そうだねx1
HPが10しかない人にとっては1ポイントでもそこそこ嫌なダメージだな
35無念Nameとしあき26/03/04(水)19:11:16No.1391579794+
ヒットポイントは元は致命傷を回避する能力らしい
まあよくわかんないからヘルスポイントになったりしてる
36無念Nameとしあき26/03/04(水)19:11:31No.1391579868+
>大体これくらいの火力だそうな
ガンダムのビームライフルの十倍くらいの威力だな
すげーなメラとそれに耐えうる一般人
37無念Nameとしあき26/03/04(水)19:11:45No.1391579915+
>HPが10しかない人にとっては1ポイントでもそこそこ嫌なダメージだな
スライムのタックルで棒で思いっきり殴られるぐらいらしい
38無念Nameとしあき26/03/04(水)19:13:45No.1391580404+
>>HPが10しかない人にとっては1ポイントでもそこそこ嫌なダメージだな
>スライムのタックルで棒で思いっきり殴られるぐらいらしい
誰が決めたの?
39無念Nameとしあき26/03/04(水)19:13:54No.1391580448+
そもそもヒットポイントはですね
体力とは違うんですよ
40無念Nameとしあき26/03/04(水)19:14:28No.1391580561+
LV1勇者でこん棒でスライム攻撃して3〜5だぞ
41無念Nameとしあき26/03/04(水)19:14:55No.1391580674+
1ダメージは骨折並みの痛みって話はどっかで聞いた記憶がある
42無念Nameとしあき26/03/04(水)19:15:07No.1391580726+
スレッドを立てた人によって削除されました
>…39無念Nameとしあき26/03/04(水)19:13:54No.1391580448 ng+
>そもそもヒットポイントはですね
>体力とは違うんですよ
43無念Nameとしあき26/03/04(水)19:16:56No.1391581138+
ひきこもりの俺が木のバットでフルスイングしたら
成人イキリバカでも瀕死になると思う
44無念Nameとしあき26/03/04(水)19:17:49No.1391581357+
>ダメージで身体能力低下しない場合はHPは0になった時に致命的なダメージを負うまでの運命力みたいな感じじゃないだろうか
じゃあ回復呪文や薬草って
一体何を回復してるんだろう
45無念Nameとしあき26/03/04(水)19:19:36No.1391581826+
たとえば棍棒で殴られたら骨や肉や内臓がダメージ受けるやろ
致命傷を回避する能力が減るってのがピンとこない
46無念Nameとしあき26/03/04(水)19:20:09No.1391581958そうだねx1
    1772619609828.jpg-(31241 B)
31241 B
>ヒットポイントは元は致命傷を回避する能力らしい
>まあよくわかんないからヘルスポイントになったりしてる
そうなんだ
47無念Nameとしあき26/03/04(水)19:20:56No.1391582185+
>一般人といったらずしおうまると戦えるくらいだよねー
村民じゃねえか一般人じゃねえわ
48無念Nameとしあき26/03/04(水)19:22:02No.1391582467+
>たとえば棍棒で殴られたら骨や肉や内臓がダメージ受けるやろ
>致命傷を回避する能力が減るってのがピンとこない
そういう急所は避けたが
代わりに命運的なものは減ってるって考え
避け続けていてもいずれは致命傷を貰って死ぬ
49無念Nameとしあき26/03/04(水)19:22:13No.1391582513+
一般人はスライムにも苦戦するのに盗賊とかはやたら強い世界
50無念Nameとしあき26/03/04(水)19:22:35No.1391582611+
>そうなんだ
これで満足して逝けるな⋯
51無念Nameとしあき26/03/04(水)19:26:20No.1391583612+
    1772619980781.jpg-(18512 B)
18512 B
こいつら本当に人間か?
52無念Nameとしあき26/03/04(水)19:26:26No.1391583636+
    1772619986771.png-(625499 B)
625499 B
メラ
53無念Nameとしあき26/03/04(水)19:46:57No.1391588767そうだねx4
    1772621217800.jpg-(15320 B)
15320 B
>>そうなんだ
>これで満足して逝けるな⋯
54無念Nameとしあき26/03/04(水)19:47:13No.1391588839+
ローレシアの王子の初期HPが20台
55無念Nameとしあき26/03/04(水)19:49:34No.1391589439そうだねx1
としあきの大半はごうけつぐまに殴られたら即死なのはわかる
56無念Nameとしあき26/03/04(水)19:52:05No.1391590077+
>こいつら本当に人間か?
そいつら倒せる主人公たちが人間なんだから人間なんじゃない?
57無念Nameとしあき26/03/04(水)19:52:16No.1391590133そうだねx1
>としあきの大半はごうけつぐまに殴られたら即死なのはわかる
一部は耐えるのかよ…
58無念Nameとしあき26/03/04(水)19:53:01No.1391590325そうだねx1
>としあきの大半はごうけつぐまに殴られたら即死なのはわかる
そりゃまあ熊だし・・・
59無念Nameとしあき26/03/04(水)19:53:51No.1391590539+
>そいつら倒せる主人公たちが人間なんだから人間なんじゃない?
出てくるモンスターが全部人間扱いになっちまう…
60無念Nameとしあき26/03/04(水)19:56:37No.1391591274+
    1772621797590.png-(7558 B)
7558 B
人間も鍛えれば強くなれるんだ
61無念Nameとしあき26/03/04(水)19:58:30No.1391591744そうだねx1
人間型モンスターだから…
62無念Nameとしあき26/03/04(水)20:07:16No.1391594192+
>1ダメージは骨折並みの痛みって話はどっかで聞いた記憶がある
小指が折れるぐらいって堀井さんがインタビューかなんかで言ってた記憶
63無念Nameとしあき26/03/04(水)20:08:07No.1391594427+
スライムに殴られるたびに小指折れてるのか
大変だな勇者
64無念Nameとしあき26/03/04(水)20:13:42No.1391595934そうだねx1
>メラって一般人(HP10と仮定)なら即死級の火炎と考えるとわりととんでもない火力なのでは
メラとは少し違うけど
俺の弟(36歳)の顔面にマラを突きつけたら悲鳴あげて逃げたよ
一般人をひるませる程度の威力は確実にあると思う
65無念Nameとしあき26/03/04(水)20:14:44No.1391596192+
>>1ダメージは骨折並みの痛みって話はどっかで聞いた記憶がある
>小指が折れるぐらいって堀井さんがインタビューかなんかで言ってた記憶
だが宿屋に泊まれば一晩で治る
66無念Nameとしあき26/03/04(水)20:14:53No.1391596238+
とりあえずこいつから逮捕しとくか
67無念Nameとしあき26/03/04(水)20:16:31No.1391596704+
レベル1のジジイ魔法使いて今までの人生何やってきたの
68無念Nameとしあき26/03/04(水)20:17:59No.1391597113+
スライムもさることながらナメクジに殺されるとか人間って案外弱いな
69無念Nameとしあき26/03/04(水)20:18:41No.1391597288+
おおなめくじて人間くらいのサイズあるんじゃね
70無念Nameとしあき26/03/04(水)20:18:44No.1391597301+
>レベル1のジジイ魔法使いて今までの人生何やってきたの
メラを習得するための修行
71無念Nameとしあき26/03/04(水)20:19:15No.1391597447そうだねx1
>レベル1のジジイ魔法使いて今までの人生何やってきたの
退職した爺さんが趣味で魔法覚えたんだろう
72無念Nameとしあき26/03/04(水)20:19:42No.1391597557+
おおなめくじの下位種クソ雑魚ナメクジならパンピーが素手で倒せるんじゃね
73無念Nameとしあき26/03/04(水)20:20:39No.1391597818+
おおねずみも3bくらいある
74無念Nameとしあき26/03/04(水)20:21:23No.1391598003+
リタイアしたジジイがセカンドライフで勇者に付き添って魔王討伐成し遂げるとか
伊能忠敬も真っ青なんやな
75無念Nameとしあき26/03/04(水)20:21:48No.1391598119+
戦闘技能がないとしあきが棍棒でぶん殴って3ダメくらいじゃね
76無念Nameとしあき26/03/04(水)20:22:11No.1391598219+
そんな老後の趣味みたいな感覚で滅ぼされたのかよ魔王
77無念Nameとしあき26/03/04(水)20:24:11No.1391598742+
>>レベル1のジジイ魔法使いて今までの人生何やってきたの
>メラを習得するための修行
だったら可能性のある女の子魔法使いを仲間にしますね
78無念Nameとしあき26/03/04(水)20:24:21No.1391598798+
宮廷魔術師のブライはマジで何やってたんだろう
79無念Nameとしあき26/03/04(水)20:26:05No.1391599260+
>宮廷魔術師のブライはマジで何やってたんだろう
城の中に籠ってたからなんも成長しなかったけど
姫が脱走して冒険の旅に出たら色々な魔法が使えるようになったんでない
80無念Nameとしあき26/03/04(水)20:27:26No.1391599627そうだねx1
人型サイズのナメクジも嫌だけど人型サイズのカエルも嫌だな
81無念Nameとしあき26/03/04(水)20:28:31No.1391599906そうだねx1
>宮廷魔術師のブライはマジで何やってたんだろう
宮廷ですごい陰口叩かれてそう
82無念Nameとしあき26/03/04(水)20:29:17No.1391600122+
>宮廷魔術師のブライはマジで何やってたんだろう
姫と旅をしてるうちに即死魔法と蘇生魔法を覚える邪悪な神官
83無念Nameとしあき26/03/04(水)20:30:42No.1391600528+
>>宮廷魔術師のブライはマジで何やってたんだろう
>姫と旅をしてるうちに即死魔法と蘇生魔法を覚える邪悪な神官
世襲でポジションだけ継承して内政にかまけてたけど
いざ実戦を経験したらやっぱ優秀だった血筋の遅咲き爺なんじゃ?
84無念Nameとしあき26/03/04(水)20:30:46No.1391600539+
別に蘇生は邪悪じゃないだろ…町にいる銭ゲバ神官も使う由緒正しき呪文だし
卑劣様みたいな使い方するならともかく
85無念Nameとしあき26/03/04(水)20:34:53No.1391601681+
>メラとは少し違うけど
>俺の弟(36歳)の顔面にマラを突きつけたら悲鳴あげて逃げたよ
>一般人をひるませる程度の威力は確実にあると思う
このリアルモンスター召喚したの誰だよ
弟かわいそう…
86無念Nameとしあき26/03/04(水)20:35:58No.1391602021+
    1772624158163.jpg-(44522 B)
44522 B
>宮廷魔術師のブライはマジで何やってたんだろう
アリーナが冒険行くまで何もしてなさそう
87無念Nameとしあき26/03/04(水)20:36:20No.1391602107+
>このリアルモンスター召喚したの誰だよ
>弟かわいそう…
もんすたあ さぷらいずど ゆう
88無念Nameとしあき26/03/04(水)20:37:42No.1391602491+
>宮廷魔術師のブライはマジで何やってたんだろう
王女の教育係に任命される位なのだから国屈指の知恵者でかつ重鎮だったはず
指揮官タイプだと思っていたら魔王とも戦えるほどの魔法の素質もあったのだろう
89無念Nameとしあき26/03/04(水)20:38:07No.1391602613+
ブライが冒険で上がったのって戦闘能力だから
それ以外の能力上げてたんでしょ人生で
なんか運命でジジイになってから戦いに生きるようになっただけで
90無念Nameとしあき26/03/04(水)20:45:12No.1391604591+
    1772624712777.jpg-(241231 B)
241231 B
レベル上げようにも敵モンスターが居なかったんじゃね?
91無念Nameとしあき26/03/04(水)20:45:34No.1391604706+
    1772624734621.jpg-(26635 B)
26635 B
>そんな老後の趣味みたいな感覚で滅ぼされたのかよ魔王
92無念Nameとしあき26/03/04(水)20:48:05No.1391605402+
氷属性のジジイという稀有なキャラだぞブライ
93無念Nameとしあき26/03/04(水)20:49:33No.1391605817+
>氷属性のジジイという稀有なキャラだぞブライ
年寄りの冷や水…ふふ
94無念Nameとしあき26/03/04(水)20:50:00No.1391605954+
    1772625000038.jpg-(153412 B)
153412 B
>>氷属性のジジイという稀有なキャラだぞブライ
>年寄りの冷や水…ふふ
95無念Nameとしあき26/03/04(水)20:51:19No.1391606357+
ブライは会話システムでわりと面白いジジイになったな
96無念Nameとしあき26/03/04(水)20:53:30No.1391606920+
>宮廷魔術師のブライはマジで何やってたんだろう
ザラキばっかり使う神官には言われたくないセリフ
97無念Nameとしあき26/03/04(水)20:53:33No.1391606934+
でもDQ7のNPCとかは猛毒で999ダメージくらって平気な顔してるからな…
98無念Nameとしあき26/03/04(水)20:55:05No.1391607357+
>>宮廷魔術師のブライはマジで何やってたんだろう
>ザラキばっかり使う神官には言われたくないセリフ
姫様の中
冷たくて気持ちいいです!
99無念Nameとしあき26/03/04(水)20:58:44No.1391608370+
    1772625524057.jpg-(76616 B)
76616 B
ももんじゃなんかこんなにでかいのに
メラで一撃って…
100無念Nameとしあき26/03/04(水)21:00:59No.1391609007+
イオでトドメ刺される幹部とかもいるし・・・
101無念Nameとしあき26/03/04(水)21:07:26No.1391610846+
>ももんじゃなんかこんなにでかいのに
なんか急所がわかりにくくて
死ぬまで無駄に傷つきそうな生き物
102無念Nameとしあき26/03/04(水)21:10:54No.1391611834+
    1772626254116.jpg-(72793 B)
72793 B
>イオでトドメ刺される幹部とかもいるし・・・
本来なら頭上で爆発させる全体攻撃魔法を密着状態で撃たれたんですよ
飛行用の紙装甲なのに
103無念Nameとしあき26/03/04(水)21:11:04No.1391611895+
    1772626264541.jpg-(84534 B)
84534 B
>たとえば棍棒で殴られたら骨や肉や内臓がダメージ受けるやろ
>致命傷を回避する能力が減るってのがピンとこない
小さなダメージやら披露が蓄積すれば集中力やら何やらが摩耗して急所を狙った攻撃を受け流したり出来なくなる…みたいな?
104無念Nameとしあき26/03/04(水)21:16:39No.1391613559+
まあHP10から100への上昇を脂肪が10倍ぶ厚くなると考えるよりは
戦闘経験とか戦闘技能の向上で死を避ける能力が10倍上がると捉える方がまだありそうだし
105無念Nameとしあき26/03/04(水)21:19:22No.1391614332+
    1772626762627.png-(116449 B)
116449 B
本当に一般人を倒せるの?

- GazouBBS + futaba-