二次元裏@ふたば
[ホーム]

[掲示板に戻る]
レス送信モード
おなまえ
E-mail
題  名
コメント
添付File []
削除キー(削除用.英数字で8字以内)

画像ファイル名:1774142707999.jpg-(87785 B)
87785 B無念Nameとしあき26/03/22(日)10:25:07No.1395553461そうだねx2 21:55頃消えます
わかる
1無念Nameとしあき26/03/22(日)10:26:14No.1395553667そうだねx1
どっちでも同じだし数学知った気になってる馬鹿が作った絵
2無念Nameとしあき26/03/22(日)10:27:49No.1395553950そうだねx10
>どっちでも同じだし
3無念Nameとしあき26/03/22(日)10:31:21No.1395554687そうだねx7
>どっちでも同じだし数学知った気になってる馬鹿が作った絵
お前の中だと√9=-3なの?
4無念Nameとしあき26/03/22(日)10:32:12No.1395554853そうだねx6
>No.1395553667
こんなんでドヤ顔出来て微笑ましい
5無念Nameとしあき26/03/22(日)10:39:00No.1395556128+
マイナス値はきにしない
6無念Nameとしあき26/03/22(日)10:44:39No.1395557204+
流石にマイナスは考慮しないと
7無念Nameとしあき26/03/22(日)10:49:44No.1395558154そうだねx24
(ヤバイ…さっぱり分らん…)
8無念Nameとしあき26/03/22(日)10:50:16No.1395558258そうだねx2
    1774144216715.png-(5456 B)
5456 B
>どっちでも同じだし
9無念Nameとしあき26/03/22(日)10:54:03No.1395558933そうだねx2
    1774144443835.png-(519573 B)
519573 B
AI様の解説
10無念Nameとしあき26/03/22(日)10:57:24No.1395559587そうだねx21
    1774144644910.jpg-(31074 B)
31074 B
キタ━━━(゚∀゚)━━━!!
11無念Nameとしあき26/03/22(日)10:58:54No.1395559894+
前提つけた上での=だなんていったらなんでも有りになるやん
X◑←宇宙の法則を乱す係数
とか言っちゃえばなんでもよくなる
12無念Nameとしあき26/03/22(日)11:00:13No.1395560173そうだねx5
    1774144813262.png-(4760 B)
4760 B
ガチで低学歴の馬鹿なんでこれの意味を教えてくれ
なんで縦棒ついてるん?
13無念Nameとしあき26/03/22(日)11:00:39No.1395560259そうだねx4
>ガチで低学歴の馬鹿なんでこれの意味を教えてくれ
>なんで縦棒ついてるん?
絶対値でぐぐれよ
つうかAIが解説してるだろうが
14無念Nameとしあき26/03/22(日)11:03:24No.1395560810そうだねx5
もうすっかり忘れてる公式とかAIに聞くだけで教えてくれるから便利よね
15無念Nameとしあき26/03/22(日)11:04:51No.1395561116そうだねx1
    1774145091872.png-(71681 B)
71681 B
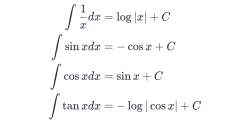
ここらの積分も厳密には絶対値記号つくけど
絶対値をつけ忘れて困った記憶がない
16無念Nameとしあき26/03/22(日)11:05:44No.1395561296+
√5=5または-5が数学的には正しい答
17無念Nameとしあき26/03/22(日)11:06:59No.1395561544そうだねx3
>√5=5または-5が数学的には正しい答
え……?
18無念Nameとしあき26/03/22(日)11:08:33No.1395561804そうだねx1
>√5=5または-5が数学的には正しい答
それは平方根
19無念Nameとしあき26/03/22(日)11:08:37No.1395561816+
√5=5ではないなw
中学のテストではめんどうだからただしX≧0であるみたいなのがある
20無念Nameとしあき26/03/22(日)11:10:15No.1395562134+
√25って二乗したら25になるものって意味だから、5と−5の両方が解になる
21無念Nameとしあき26/03/22(日)11:11:26No.1395562337そうだねx1
俺は日本人だから単純にみんなが並んでいる方に並ぶ
22無念Nameとしあき26/03/22(日)11:13:02No.1395562643そうだねx1
>絶対値でぐぐれよ
>つうかAIが解説してるだろうが
さっぱり分からん!!!
>1774144644910.jpg
の田沢以上に発狂してるよ…
23無念Nameとしあき26/03/22(日)11:13:11No.1395562671そうだねx1
sqrt(pow(x, 2)) == abs(x)って書いた方がわかりやすいね
24無念Nameとしあき26/03/22(日)11:13:14No.1395562683そうだねx1
何もわからんから鹿の前に並ぶわ
25無念Nameとしあき26/03/22(日)11:13:21No.1395562702+
>どっちでも同じだし数学知った気になってる馬鹿が作った絵
数学知った気になった馬鹿のレス
26無念Nameとしあき26/03/22(日)11:15:39No.1395563150+
あの窓の内側には何があるの
27無念Nameとしあき26/03/22(日)11:18:18No.1395563615+
で…結局左側には何の問題があるの?
28無念Nameとしあき26/03/22(日)11:30:25No.1395565868+
左に行くと買いに行ったはずが買い取られる場合もあるので並ばないというのなら売りたい人は並んでるんじゃない?
29無念Nameとしあき26/03/22(日)11:33:58No.1395566506+
>√5=5または-5が数学的には正しい答
√5は富士山麓鸚鵡鳴くだろ
30無念Nameとしあき26/03/22(日)11:34:45No.1395566658+
そもそも左には商品が置いてないから並ばない
31無念Nameとしあき26/03/22(日)11:35:05No.1395566724+
x自体が変数なんだからまだプラスもマイナスも含んでるってことじゃダメなのか
32無念Nameとしあき26/03/22(日)11:45:44No.1395568819+
>x自体が変数なんだからまだプラスもマイナスも含んでるってことじゃダメなのか
哲学でもやってるのか?
33無念Nameとしあき26/03/22(日)11:47:28No.1395569144そうだねx3
なるほど
わからん
34無念Nameとしあき26/03/22(日)11:57:25No.1395571215そうだねx1
式の意味は分かるけど絵の意味が分からない
35無念Nameとしあき26/03/22(日)11:58:31No.1395571444+
ラストウォー
36無念Nameとしあき26/03/22(日)12:02:26No.1395572312+
>>どっちでも同じだし数学知った気になってる馬鹿が作った絵
>お前の中だと√9=-3なの?
学問上の話じゃなくて実務上で右だと問題になる場合ってなんかあるの?
37無念Nameとしあき26/03/22(日)12:08:57No.1395573630+
>学問上の話じゃなくて実務上で右だと問題になる場合ってなんかあるの?
交流の電気回路とか絶対値と位相を扱うようなのが全滅する
38無念Nameとしあき26/03/22(日)12:36:16No.1395579270+
>(ヤバイ…さっぱり分らん…)
日常生活で使うこと無いからわからなくてもOK
39無念Nameとしあき26/03/22(日)12:42:37No.1395580598+
>(ヤバイ…さっぱり分らん…)
(-3)^2の√を考えてみるといいと思うよ
40無念Nameとしあき26/03/22(日)12:44:40No.1395581013+
>√5=5または-5が数学的には正しい答
√5は5の平方根のうち正の数の方
って定義が教科書には載ってたはず
じゃない?
数学は困ったらまず定義に戻ろう
41無念Nameとしあき26/03/22(日)12:45:22No.1395581162+
としあき頭いいんだな
42無念Nameとしあき26/03/22(日)12:46:31No.1395581411+
院卒や教授・研究者のとしあきもいれば
小卒中卒?みたいなとしあきも
スレによってはいるのが凄い所
43無念Nameとしあき26/03/22(日)12:48:49No.1395581899+
ひと夜ひと夜にひとごろし
だっけ
44無念Nameとしあき26/03/22(日)12:49:34No.1395582041+
人並みにごろせや
45無念Nameとしあき26/03/22(日)12:49:35No.1395582053+
低学歴なのはいいけど
それで自分が賢いつもりで数学やら世の中の学問を否定するのは本気でバカだからやめろ
46無念Nameとしあき26/03/22(日)12:50:13No.1395582171+
図は左は絶対値だから並んだら買える時(プラスの場合)もあれば買えないどころか没収されること(マイナスの場合)もあるから客は並ばないと言いたんだろうけど
その意図が見てる人に伝わるかというとうーん…
47無念Nameとしあき26/03/22(日)12:53:08No.1395582814+
脱落者に優しくな
48無念Nameとしあき26/03/22(日)13:00:08No.1395584334+
左は没収される可能性を警戒する必要がある看板なのだと理解してる消費者だけしか存在しないように見えるのは数学科学生だけしか並んでないって事なのかね
49無念Nameとしあき26/03/22(日)13:02:42No.1395584869+
    1774152162052.png-(173729 B)
173729 B
>低学歴なのはいいけど
>それで自分が賢いつもりで数学やら世の中の学問を否定するのは本気でバカだからやめろ
50無念Nameとしあき26/03/22(日)13:04:46No.1395585307+
画が理解出来ない

- GazouBBS + futaba-